Після запровадження НКРЕКП нових тарифів для АТ «Укртрансгаз» в кожній області України діятиме своя ціна на газ для побутових споживачів.
Про це говориться у заяві Асоціації газового ринку України.
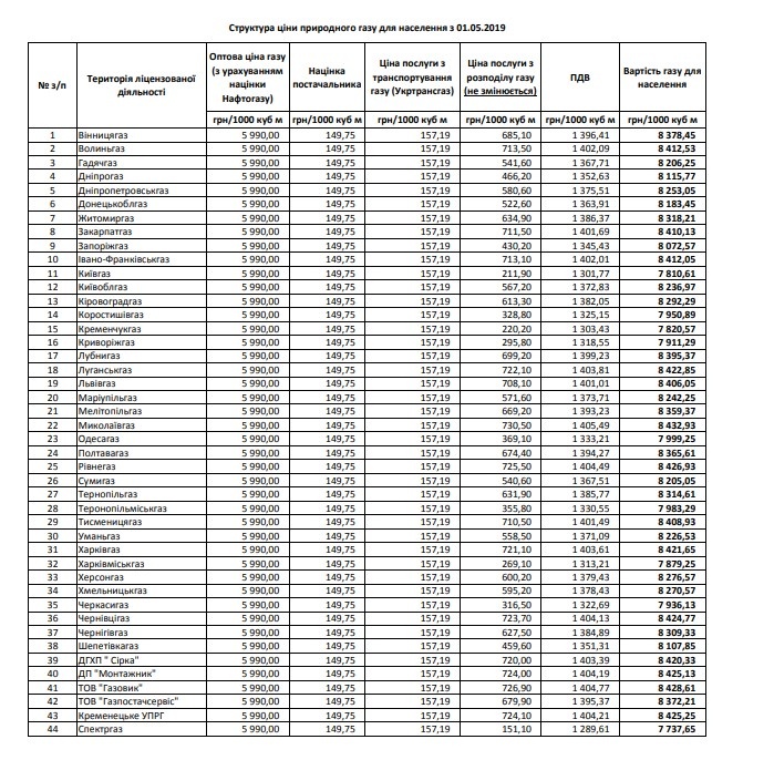
«За інформацією, наявною у розпорядженні Асоціації, уряд та «Нафтогаз» нарешті врегулювали ціну газу для потреб побутових споживачів з 1 травня 2019 року. Відповідно до проектів додаткових угод, надісланих НАК «Нафтогаз України» на адресу постачальників зі спеціальними обов’язками, оптова ціна газу, за якою «Нафтогаз» здійснює продаж газу для потреб побутових споживачів, з 01.05.2019 становитиме 5 990,00 грн. за 1000 м3. При цьому кінцева вартість газу мала б становити 8 247,00 грн. за 1 000 м3. Крім того, вказані додаткові угоди також врегульовують питання оптової ціни для потреб побутових споживачів на червень 2019 року, яка становитиме 6 299,00 грн. за 1000 м3, а отже кінцева ціна газу мала б становити 8 627,01 грн. за 1 000 м3. Однак, споживачам варто звернути увагу на те, що кінцева вартість блакитного палива у платіжках буде різною на всій території України», – зазначається у заяві.
Така різниця, як повідомляється у заяві, обумовлена рішенням НКРЕКП щодо запровадження для дочірньої компанії НАК «Нафтогаз України» – АТ «Укртрансгаз», тарифу на транспортування газу, виходячи з замовленої потужності.
«Він передбачає, що споживачі (у т.ч. побутові) газу сплачуватимуть за послуги транспортування газу газотранспортною системою фіксовану ставку (фактично абонплату), у розмірі 157,19 грн. за тис куб. м. (без ПДВ). Ця ставка є складовою кінцевої вартості газу для населення і діє для всіх областей України. АТ «Укртрансгаз» вже надіслав постачальникам газу для населення нові угоди на транспортування газу», – заявили в Асоціації.
У заяві зауважується, що до цього нововведення вартість газу була єдина для споживачів у всіх регіонах, тому що для всіх областей діяв однаковий загальний тариф на доставку газу, який складався з тарифу на транспортування для АТ «Укртрансгаз» та тарифу на розподіл для операторів ГРМ. Із 1 травня для кожного регіону буде діяти свій тариф на доставку газу.
«Наголошуємо, що єдиний компонент кінцевої вартості газу, який залишається незмінним та хронічно збитковим, протягом останніх трьох років – тариф на розподіл природного газу», – додали в Асоціації.
Детально про кінцеву вартість природного газу для потреб побутових споживачів, в розрізі територій ліцензованої діяльності з розподілу газу та з деталізацією кожного компонента вартості газу, можна ознайомитися в таблицях:
Джерело: Главком

